肾脏,这对拳头大小、默默无闻的器官就像身体的“净水器”,一天24小时无休地过滤血液、排出废物。然而,肾功能会随着年龄的增长而逐渐下降,更棘手的是:它太能忍了!
哪怕一半的肾细胞已经受损,它依然可能默默工作,不发出任何明显警报。等你出现水肿、泡沫尿、莫名腰酸这些信号时,可能已经错过了最佳干预时机!
那么,是谁在悄悄地摧毁我们的肾脏?
01 肠道菌群失调
当肠道中有益菌减少,有害菌占据上风,会过度分解蛋白质产生尿毒素并释放促炎因子。这些有害物质会穿过受损的肠道屏障进入血液,引起慢性全身炎症,进而加剧肾脏损伤。

而肾功能下降→毒素潴留→菌群失衡,失衡的菌群又反向释放更多尿毒素,进一步伤肾,形成“肠-肾轴”恶性循环。
02 氧化应激
我们的身体每时每刻都在产生自由基,但当自由基超过身体抗氧化防御系统的清除能力时,就会引发氧化应激。
这个过程就像在细胞膜上点燃了一场看不见的火灾,而肾脏代谢旺盛、富含多不饱和脂肪酸,火势只会更猛。
点燃火灾:
自由基会抢走足细胞、肾小管上皮细胞膜上多不饱和脂肪酸(PUFA)的氢原子,生成不稳定的脂质自由基(L·)。
火势蔓延:
这是破坏性最强的阶段,其过程呈几何级数放大:脂质自由基(L·)与氧分子反应生成脂质过氧自由基(LOO·);而脂质过氧自由基(LOO·)会再从邻近PUFA分子抢夺氢原子,生成脂质氢过氧化物(LOOH)和新的脂质自由基(L·)。

这个新生的脂质自由基(L·)会重复上述过程,再次与氧气结合,攻击下一个脂质分子。
这个过程呈爆炸式地蔓延,一个初始自由基可以在短时间内破坏成千上万个脂质分子,严重破坏细胞膜的流动性和完整性,导致膜通透性增加、离子梯度丧失、线粒体膜电位下降,最终触发线粒体通透性转换孔(mPTP)开放,诱发细胞凋亡或坏死。
火灾后的残骸与毒性:
脂质氢过氧化物(LOOH)本身不稳定,会分解成具有高度细胞毒性的终产物,如丙二醛(MDA)。
MDA会与细胞内的蛋白质、核酸发生交联,使肾脏滤过膜失去弹性、基底膜逐渐增厚硬化,推动肾小球硬化和肾小管间质纤维化进程。
而且MDA本身是强烈的炎症信号,会招募炎症细胞聚集,持续损伤肾脏组织。
03 胰岛素抵抗
胰岛素抵抗本身不会“直接”攻击肾脏,但它会通过引发代偿性高胰岛素血症和后续的胰岛β细胞衰竭,导致身体出现持续高血糖,从而造成肾脏结构和功能的损伤。
长期高血糖会逐步破坏肾小球微血管结构,引发不可逆的肾小球硬化,最终可能导致终末期肾衰竭。
通俗来说:就是让肾脏长期浸泡在“糖水”中,肾脏内部最核心的“过滤芯”(肾小球)被糖分慢慢糊住、变硬、堵死,最终完全丧失过滤功能,导致肾脏无法工作。
机械损伤:
当血糖长期居高不下时,肾小球为了排出多余葡萄糖被迫处于高负荷过滤状态,导致毛细血管内压持续升高,滤过屏障逐渐被“撑松”,原本不该漏出的蛋白质开始渗到尿里,形成蛋白尿。

而漏出的蛋白一旦沉积在肾小球系膜区,会像淤泥一样越积越多,反过来又把毛细血管袢压扁,使局部压力进一步升高,滤过屏障更松,蛋白漏得更多,形成“越漏越压、越压越漏”的恶性循环 。
生化损伤:
当我们长期血糖偏高,血液里过多的糖分会与我们肾脏里的蛋白质发生反应,生成糖基化终末产物(AGEs)。
这 AGEs就像黏糊糊的糖浆,糊在肾小球的“过滤网”上,让原本柔软有弹性的滤网变硬、变脆,过滤功能直线下降。
联合打击:
高血糖还会加剧氧化应激和炎症,形成“高糖→氧化→炎症→肾脏纤维化”的自放大循环,全方位加速肾脏功能衰退。
因此,严格控制血糖、改善胰岛素抵抗是保护肾脏功能的核心措施之一。在此过程中,糖化血红蛋白(HbA1c) 是关键监测指标,其数值升高不仅提示血糖控制不佳,更是肾脏损伤进展和心血管风险增加的重要预警信号。
航天科技赋能微生物“超进化”
面对这些多维度的威胁,传统单点阻击往往效果有限。但现在,源自航天生物的前沿科技成果,为我们带来了全新的系统性解决方案。
天益空间生物曾将精选的优质菌种通过全程搭载天宫二号和神舟十一号送入太空,经历了为期63天的“太空进化特训”。

太空,是地球上无法模拟的“终极压力测试场”——微重力、强辐射、极端温差、弱磁场、高真空等多重极限条件同时施压。
在这样的极端环境下,绝大多数菌株被淘汰,而少数菌株为了活下来不得不激发自身潜能,其遗传物质发生关键性的“改写”或“升级”,从而获得在地球环境下短时间难以出现的优良性状——比如更强的抗氧化能力、更高效的代谢途径等。

返回地球后,科研团队再从这些“幸存者”中进行严格筛选和培育,最终选拔出性能提升、遗传稳定、安全可靠的优质新菌株,也就是我们现在所说的“太空菌”。
双菌协同:构建立体护肾体系
在太空菌中,空间植物乳植杆菌SS18-119/SS18-5不仅扛住了太空生存考验,更惊喜地获得了抗逆基因与功能强化,具备了守护肾脏的强大潜能。
01 强效定植
空间植物乳植杆菌SS18-119/SS18-5自带抗逆性基因,就算没做包埋处理,经过胃肠液的消化后,仍能有大量的活菌到达肠道定植。


这两株菌能显著提升有益菌丰度,通过“竞争性占位”抑制有害菌增殖,恢复肠道菌群平衡;同时增强肠道屏障功能,减少内毒素、尿毒素等有害物质入血,从根源上降低肾脏炎症水平。
02 抗氧化战线
面对氧化应激这场“隐形火灾”,空间植物乳植杆菌SS18-119 展现出了多层次、精准的防御能力:
源头拦截:
空间植物乳植杆菌SS18-119能强效清除自由基:对DPPH自由基清除率高达85.6%;对超氧阴离子自由基清除率达79%。这相当于在火苗刚蹿起时就扑灭了大部分,有效减轻自由基对肾细胞膜的第一波冲击。
切断助燃链:
空间植物乳植杆菌SS18-119对Fe²⁺螯合能力达到36.3%,通过螯合金属离子,有效抑制破坏性极强的羟基自由基(·OH)爆发,从源头削弱“芬顿(Fenton)反应-脂质过氧化-铁死亡”链条,延缓氧化应激相关肾损伤的进展。
增强抗氧化酶活性:
临床试验证实,空间植物乳植杆菌SS18-119能显著提升SOD、GSH-Px等抗氧化酶的活性,增强自身的抗氧化防御系统。

其中,谷胱甘肽过氧化物酶(GSH-Px)能将链式反应中产生的脂质氢过氧化物(LooH)还原降解成无害的醇类,有效中断火势的蔓延。
清理“火灾残骸”:
空间植物乳植杆菌SS18-119使血清丙二醛(MDA)水平大幅降低45.6%,有效减少毒性终产物对肾脏结构的长期毒害,防止“火灾”后的二次损伤。
03 控糖抗炎战线
持续高血糖和随之而来的慢性炎症,是损伤肾脏的“温柔刀”。空间植物乳植杆菌SS18-5则擅长从关键节点切入,打破这个循环。
平稳血糖,为肾脏“减压”
空间植物乳植杆菌SS18-5对α-葡萄糖苷酶抑制率高达90.47%,碳水化合物分解为葡萄糖的速度大幅放缓,餐后血糖曲线变得平缓。血糖的平稳直接减轻了肾小球的高滤过高压状态,为肾脏“减压”,减少蛋白漏出。

减少“糖浆”沉积
随着血糖得到控制,有害的糖基化终末产物(AGEs)的生成也会减少,有助于保护肾小球滤过膜的完整性和弹性。
调节炎症因子,改善内在环境
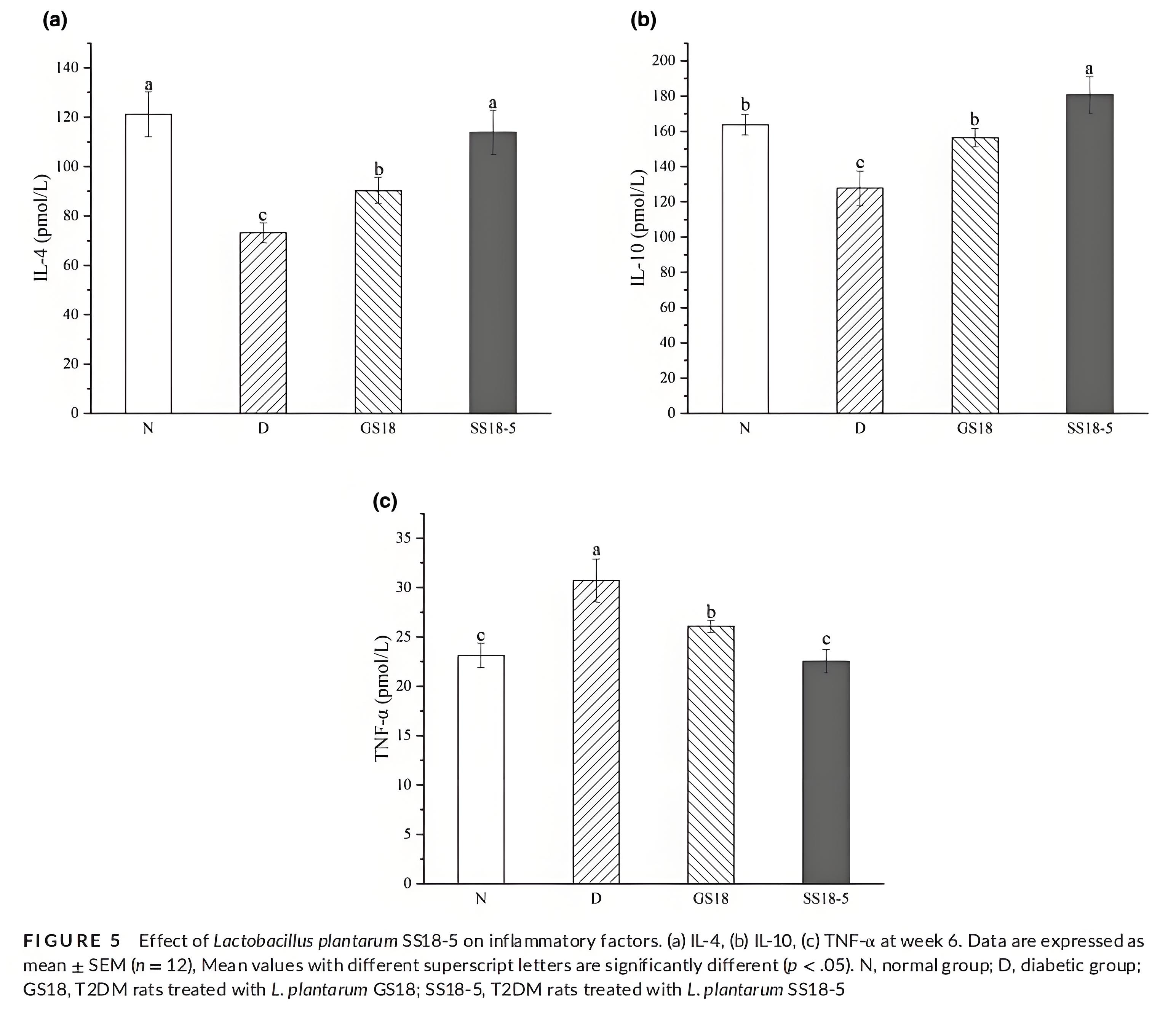
空间植物乳植杆菌SS18-5有效促进IL-4、IL-10等抗炎因子的表达,抑制TNF-α等抗炎因子;既能直接减轻肾脏的局部炎症,还能改善由炎症加剧的胰岛素抵抗,形成正向循环。

直接护肾,改善肾功能
临床试验表明,空间植物乳植杆菌SS18-5对肾脏有直接的保护作用,能够减缓因代谢紊乱导致的肾脏肿大和充血,维护肾脏的正常生理功能。
1+1>2的肾脏防御体系
单独使用空间植物乳植杆菌SS18-119或空间植物乳植杆菌SS18-5已经很能打,可当两者联合作战时,不仅从根源上调节肠道菌群平衡,增强肠道屏障;更能有效打破“氧化应激 + 糖代谢紊乱 + 慢性炎症”三者相互加剧的恶性循环,为肾功能构建起一道持续、稳固的“生物护盾”,实现从被动治疗到主动防护的转变。
肾脏的沉默,不应该成为我们忽视它的理由,等到症状出现往往为时已晚。
空间植物乳植杆菌SS18-119与SS18-5双菌协同作战,通过“调菌群+抗氧化+控糖+抗炎”四位一体的综合策略,把肾损伤的干预窗口移至“沉默期”,在肾脏尚未发出明显求救信号时,就已经开始源头保护。
毕竟,最好的治疗永远是预防!